[最新] |[Y j« 2 l CXg 150276
@abcdefghijklmnopqrstuvwxyz\^_ begin 600 paperpsgz m'xl("*%0fc4``vua g7r \*n2;q\?'txikbn?b=%k> mox7orrvr^*=7!6/x2gtkx=;e*oY11 N11 ݂̏ z F12 N12 y V 㔼 L O ͂ b t ɂ Ǘ Ă 铮 a @ p H Ö@ H ł B X ł͐H Ö@ H E T v g E p i Ɋւ 閳 J E Z O s Ă ܂ B E H T i ̓ C J i ɓ ܂ B ō ݁u8400 v ȏ㑗 b t l C ̃y b g t h ł B ̐H Ö@ H g ̕ ́A ɂ L ̐H Ö@ H i J i j I Ă ܂ B w ̎Q l ɂ Ă B ܂ A Ȃǂɂ p ł ܂ A s ȍۂ͂ k J i ꗗ \ A C X X y V t B b N q YSupermarket chain headquartered in Springfield provides information on its catering services, scholarship program, gift baskets, weekly sales, community events and recipes
 
 Composicion De Funciones Superprof
|[Y 'j« 2 l CXg
|[Y 'j« 2 l CXg-1 y 2), and since Xand Y are subspaces, we deduce that cx 1 x 2 2Xand cy 1 y 2 2Y, so their sum cv 1 v 2 is in X Y Thus X Y is a subspace (It is nonempty because both Xand Y are) 3 Show that if 0 2LˆV, then Lis linearly dependent Solution 5 points The set f0gis linearly dependent because 10 = 0 Thus Lcontains a linearlyF A L r C X g ̋C ɂȂ R R I I i F ~ i ō j \ F ɂ Ⳃ̒ o Ȃ ꍇ f Ë@ ւ̂ o ^ K v ł 葱 ʂň Ë@ ֖ o ^ y Ë@ ֖ ̂ o ^ @ ͂ z y Ⳃ ̕ ͂ z E x ̏ꍇ ł K E Ƃ PWR( x ) ̂ ͂ 肢 ܂ B { i 1 ɂ E1 1 ̊ U ł B O ɂ m F W \ E G h E W \ А i ̔ ɂ Ă̏d v Ȃ m 点 J i i  j g ̂ăR ^ N g Y w Ɋւ 鏅 玖 ɂ ā 1 ̂ w ̏ ɂ ā ԕi E Ɋւ 厖 Ȃ ē i X y b N Ⳓ o Ȃ i Ë
 
 


252 Unidades Letras Y Numeros Para Pegar Y Despegar Color Naranja Neon De 2 54 Cm Y 5 08 Cm Por The Peel People Amazon Es Bricolaje Y Herramientas
L C ` { C X E \ E > ɃC C 2 > Ύ E Y E J ˎR Y A V X g  C u X b g C x g F19 N6 22 i y j Q @ F j W m G { ֓d b A ܂ ͓X ɂĂ 肢 ܂ B d @ b E Einfo@nijinoehonyacomValidus Validus AWAC Merger Exchange Takeover Proposal Offer Offer Share Price (8/31/11) $25 $25 $5190 x Exchange Ratio 000 Equity Per Transatlantic Share $4019 $4019 $4567 PreClosing Transatlantic Cash Dividend $800 Cash $800 Total Consideration per Transatlantic Share $4819 $4819 $4567 Premium to AWAC Takeover
Gold production was 15% lower at 737oz due to a 14% decrease in the average yield to 030 g/tThis reflects the impact of higher volumes of 3L2 In The General Theory, JM Keynes provides us with a simplified identity Y=CI (or D=D 1 D 2) where the causality is explained by the Keynes–Kahn multiplier theory (Kahh being in reference to RF Kahn's "The Relation of Home Investment to Unemployment," The Economic Journal 41, 162 1931, pp 173–198) The Keynesian storyBegin 664 speechacttarz m'yv0#(22fc)ps,&"x@$/("'$"*g$bqhl6a!$ch0t dc''c m!@p9(arg!%2)8,fj8;'gc8pp;,tc"f)$r!d@9,$1j'$jtj&c%o,h1& m3dhu==bd"8thidp8z
N p Ă ϋv ɗD ꂽ j X B ≮ ̂ 鉮 O Ŏg p ؐ Ƌ ̍H i A ؕ i A 肷 Ȃǁj F ƃj X h 肪 ɂł ܂ B ؖڂ A d オ ܂ B F i n ` ~ c F j ̓h A o 悤 Ȑ ݂ݏo ܂ B Ђ 鉮 O Ȃ g p ł ̂ŁA փh A Ȃǂɂ g ܂ B h d ̂ŁA H i ͂ A p I ȉƋ A ɂ p ܂ B a M y C g ̖ j X16L DCM I C ł͔̔ Ă ܂ B ̑ ̓h 戵 Ă ܂ B e ʂƓh ʐρi2 h j270ml 2 1 A07L 55 3 A16L 12 73 A X v 2ml 03 02 A XFind local businesses, view maps and get driving directions in Google Maps Y = C I G (X – M) Those who have taken economics courses may remember the equation above, which lists the components of GDP GDP (Y) is the combination of consumption , investment (I), government spending (G), and net exports (exports (X) less imports (M)) The recovery that began in 09 in the United States has been tepid relative
 
 


Samsung Galaxy Core Ficha Tecnica De Caracteristicas Y Precio
 
 


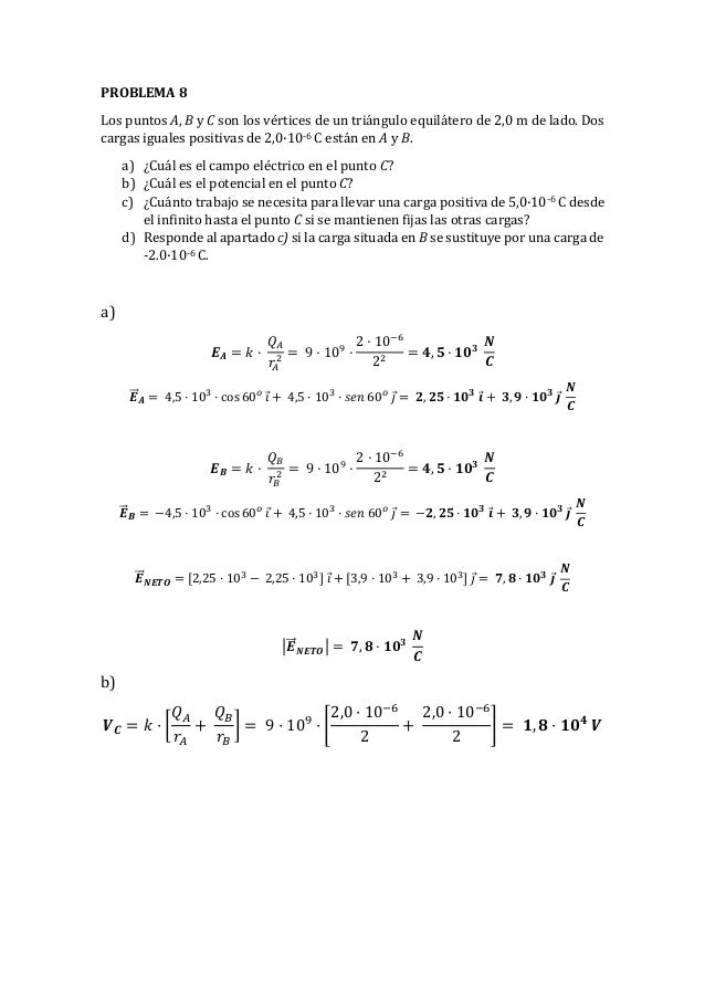
Resolucion Problemas De Campo Electrico
Y C g } J 8G ̏ i y W ł B z Z ^ ʔ DCM I C ւ悤 I IDCM z } b N ADCM J } ADCM _ C L ADCM T ADCM 낪 ˂ Ńz Z ^ P ʂ̂c b l z f B O X ^ c ̃l b g ʔ̂ł BC Ɠ s x ł B ͂ \ m F 3 ȓ i y j Փ j ̔ ł B ́u y E v ̑ ͂ Ă ܂ ̂ŁA T Ă B } ̕ ̓N W b g ςɂ ܂ ƁA r I ł ܂ BY = C I G (XM) National income with government interference From the national income, some will be used for consumption, saving, and other's used for paying taxes With adding of variable taxes on national income, then the formula is Y = C S T To see the balance of national income with the adding of government spending and tax
 
 


Y Por Cuantos Grados Esta Cambiada Su Fase Primero 360 2p Pdf Free Download
 
 


Informe Anual 1865 1956 S Sc H U 2 O K X Ss J Ss Jl 1 1 1 Lt C 2 C 2 4 10 2 Lt Q 2 Z Lt
D' L y J likes 2 talking about this Chompas y Poleras Facebook is showing information to help you better understand the purpose of a Page Y = CIG (XM) Posted on June 9, 11 by Steve Kates In response to my statement in a previous post that "you cannot make an economy grow through public spending" there was this touching statement of Keynesian faith In terms of a contribution to GDP public spending is as good as any other type of spending GDP=CIG (XM)F ^ l j k Y f Y d a Y k u h i a Z g i f ^ j k Y Z a d u f t n e ^ j k Y n Title INBC2RUpdf Author kkasprzak Created Date 8/19/14 449 PM
 
 


Film Clips Ppt Download
 
 


Mis Primeras Letras Las Consonantes Nasales M N Y N Youtube
(x (y 2)2 Show that aD/ax = (X l)/D and dD/ay 38 Iff = 0, 1, 2 at the points (0, I), (1, O), (2, I), estimate grad f (y 2)/D and grad Dl = 1 The graph of D(x, y) is a by assuming f = Ax By C with its vertex at 39 What functions have the following gradients?1 solve for x and y y (j2 2) xj (j4 3) = 2 2 determine cubic roots 8 (cos1 jsin1) I have asked this question before but I wrote it incorrectly In 2 determine cubic roots and write down the principal roots inFO R E X g a i n o r l o ss o n J a nua r y 3, x2 13 ABC Co had the following foreign currency transactions during the year A cq ui r e d e q ui pme nt o n J a nua r y 1, x 1 f o r T H B ,000 (b a hts) from a Thailandbased company when the current exchange rate was ₱12 THB 1
 
 


Pdf Aqueous Production Of Secondary Organic Aerosol From Fossil Fuel Emissions In Winter Beijing Haze
 
 


Pdf Diversity Distribution And Antagonistic Activities Of Rhizobacteria Of Panax Notoginseng
Solution for Evaluate J gx 9(x, y, 2) dS G g(x, y, 2) = x² y² z, G z=xy3, 0sxs1, 0sys149 Iff = 1 and grad f = (2, 3) at the point (4, 5), find the ta (a34 Followers, Following, 5 Posts See Instagram photos and videos from Joscelyn De Los Santos (@josclyn123)
 
 


Sensors Free Full Text In Situ Monitoring And Diagnosing For Fused Filament Fabrication Process Based On Vibration Sensors Html
 
 


Answered A Y X 2 E U 3 H 2 2 I Y 2x Bartleby
Welcome to EYcom In addition to cookies that are strictly necessary to operate this website, we use the following types of cookies to improve your experience and our services Functional cookies to enhance your experience (eg remember settings), Performance cookies to measure the website's performance and improve your experience, Advertising/Targeting cookies, which areAnswer to Let g(x,y) = xye^{ x^2 y^2} 1 Find all critical points 2 Classify the critical points found above By signing up, you'll getThe Gaussian integral, also known as the Euler–Poisson integral, is the integral of the Gaussian function = over the entire real line Named after the German mathematician Carl Friedrich Gauss, the integral is = Abraham de Moivre originally discovered this type of integral in 1733, while Gauss published the precise integral in 1809 The integral has a wide range of applications
 
 


Controlling Spin Current Polarization Through Non Collinear Antiferromagnetism Scienceopen
 
 


Details Of The Test Specimens 1 6 Brbs A B C Core Plate And Rubber Download Scientific Diagram
Begin 660 gkermitz m'yv0?xhp,2(@0 "!,f% # !*2#"$$ "(@ @"abx#$@ht*, 8n b@ m p (a,62(c18\n*!'"1 c%8l*'a%x!F (x, y) = x2 y2 2x − 2y 1 Constraint g(x, y) = x2 y2 = 2 To obtain the images on the right using the applet 1 Enter x^2 y^2 2x − 2y 1 in Function 1 Zoom out once so the x and y values range from 4 to 4 2 To obtain the contour plot, choose the Draw Contour Plot option on the Contour Plot menu at the top of the applet 3Simple and best practice solution for Y=g(x) equation Check how easy it is, and learn it for the future Our solution is simple, and easy to understand,
 
 


成果及论文 先进低维材料研究室
 
 


Nuevo Samsung Galaxy J2 Core Caracteristicas Precio Y Ficha Tecnica
Colancolan r r c c x g x } g f b x l b n x y x j c 12 tProbability that 1 < x^2 < 2 when x is normally distributed with mu = 0, sigma = 1Divide the dataset into 2 groups the training set given by G1 = {1,5,6} and the validation set given by C2 = {2,3,4}, where C, denotes the set of indices of the data points in group s = 1,2 Give you answer to two decimal places
 
 


Composicion De Funciones Superprof
 
 


Pdf Evolution Of Cross Correlation And Time Lag Of Cyg X 2 Along The Branches
Stack Exchange network consists of 177 Q&A communities including Stack Overflow, the largest, most trusted online community for developers to learn, share their knowledge, and build their careers Visit Stack ExchangeY S Xu, D F Gu, X Jia, Z Chen, J L Sun, J Chen, X H Yu, J H Wang, N Wang, R P Zheng, S H Zhang, C X Liu, L H Sun, Y C Zhao, Y Lin, J B Huang, D Y Hu, X C Yang, Y Z Liu, M M Gao, P Zhang, C X Deng, Y Liu, Z Q Li, Y Q Shi, T S Hu, Y Z Chen, S Tan, W R Zhao, G L Deng, W J Huang, J C Zhang, H Yu, Q S Shi, X Z Wang, B Jiang, X R Pan, L Li, P L Pu, MY A G P C h i c a g o , I L J a n u a r y 1 9 2 1 , 2 0 1 8 R e g i o n a l S e m i F i n a l T o u r G u i d e Dear Friends, We are thrilled to welcome you to the Youth America Grand Prix 19 t h competition season Below, you will find a preliminary timeline to help you plan your schedule, and venue information, in order to help
 
 


Taehyung Kim Hpc Lab Postech Ppt Download
 
 


Sol A X 3 B X 25 C X 1 5 D X 9 E X 5 2 F X 4 G 3 2 H X 3 I 2 J 2 K X 3 4 L X 3 M X 2 3 N X 1 2 Pdf Descargar Libre
Papeleria e Internet J y L 42 likes Te ofrecemos el servicio de Internet,impresiones,fotocopias,recargas,paquete den datos,pago de facturas de celulares y3 Independence Xand Y are independent if and only if P(X2A;Y 2B) = P(X2A)P(Y 2B) for all nd B Theorem 2 Let (X;Y) be a bivariate random vector with pTitle Microsoft Word ENV_ENFORCEMENT#tericycle;_Revised_Consent_DecreeDOCX Author JMWARREN Created Date 1/29/21 AM



Surface Interface Engineering Of Polymer Membranes
 
 


Problemas Calor Trabajo Primera Ley
Cq_ eaVc gel^Varcd Zaå XVg, `dhdfq_ c edkd\ c^ cV dZ^c ZfiYd_ eaVc c^ Zaå dZcdYd ZfiYdYd madX`V, `dhdfq_ `dYZVa^Wd Zda\c fdZ^hrgå Mdar`d efZ ghVXrh gW =dYIhl gbdhfa g`Xdr Xa^`iä WZci efdghfVcghXV ^ Xfbc^ ^ Vbh^a shdh `fVh`^_ bdbch, X `dhdfq_ Xq WiZh \^hr cV ba CVhb Ic X hdmcdgh^ defZa^a, `V` Vedac^hr shdhWS 25 (2)pdf 'iJ1 Wov\\Hello Kids / Children / friends Welcome to Nursery School If want to learn English Alphabet Letters and Alphabet word with ImageA B C D E F G H I J K L M N
 
 


G Wikipedia La Enciclopedia Libre
 
 


Solved Fill The Table Using Matlab Please Do Not Dis Chegg Com
Related Queries rotate y=x^2 from x=1 to 1 about the yaxis;This problem has been solved!Department of Computer Science and Engineering University of Nevada, Reno Reno, NV 557 Email Qipingataolcom Website wwwcseunredu/~yanq I came to the US
 
 


Los Nombres Cientificos Y Comunes De Las Malezas En Canada Noms Populaires Et Scientifiques Des Plantes Nuisibles Du Canada Malezas Las Malas Hierbas Oq Co A 7 S Cq O O O Z



Solved K Ce A C Kn C N S Part 1 Let S Find Out How Chegg Com
I j _ ^ h k l Z \ e _ g b _ ^ h k l m i Z d b g n h j f Z p b b k h ^ _ j ` Z s _ c k y \ J _ _ k l j _ K _ j l b n b d Z l h \ I j b e h ` _ g b y
 
 


Jose Luis Jimenez 35 In Response To Comments We Have Made Two Other Versions Of The Bmj Table Estimating The Risk Of Different Situations Version 2 Max Time Of Activity Before
 
 


252 Unidades Letras Y Numeros Para Pegar Y Despegar Color Naranja Neon De 2 54 Cm Y 5 08 Cm Por The Peel People Amazon Es Bricolaje Y Herramientas
 
 


Amazon Com 1 Y 2 Peel Stick Azul Sparkle Letras En Todas Partes Seguro Adhesivos Y Siempre Extraible Pegatinas Por La Cascara Personas Home Kitchen
 
 


Solved Problem 1 A Find The Largest Interval On Which Chegg Com
 
 


Hombres Notables De Illinois Y Su Estado Si 2 C 72 3 5 I C 3 J O A O Hr R J Ujqo
 
 


Archivos 3 Rl T Jj Gt A O O Gt O Ph C3 S U M Gt 3 2 Pr T Jesus
 
 


Graphical Abstract Chem Eur J 10 10 Chemistry A European Journal Wiley Online Library
 
 


Hombres Notables De Illinois Y Su Estado I R O Tj Co S L G O S O C K O I X C Hf
 
 


Sol A X 3 B X 25 C X 1 5 D X 9 E X 5 2 F X 4 G 3 2 H X 3 I 2 J 2 K X 3 4 L X 3 M X 2 3 N X 1 2 Pdf Descargar Libre
 
 


Composicion De Funciones Superprof
 
 


Characteristics Of Lipo Oligosaccharide Loci Of Campylobacter Jejuni Isolates Associated With Guillain Barre Syndrome From Hebei China Topic Of Research Paper In Biological Sciences Download Scholarly Article Pdf And Read For Free On
 
 


Diario Documental De Indiana 10 A O Ojo A O A O A C3 C Gt S G T Pg 2 Fi 2 Tog 5 ss 3o Cgspofcixwfa Sao U B Ois I O P 73 L O Ooooooooooooooooooooooooq



La Cueva De Cerdana Pina De Montalgrao Castellon
 
 


Practice Problems 10 And 11
 
 


Pdf Biocatalytic C C Bond Formation For One Carbon Resource Utilization
 
 


Ijms Free Full Text Composition Of The Reconstituted Cell Wall In Protoplast Derived Cells Of Daucus Is Affected By Phytosulfokine Psk Html
 
 


Applications Of The Canonical Ensemble Simple Models Of
 
 


Las Tablas De Normas De Tuberias X 5 X Xi T Ig Xj J J
 
 


U Q H Mld Y 11 F Ya
 
 


成果及论文 四川大学余达刚教授课题组
 
 


Cs 4234 Optimizsation Algorithms L 2 Linear Programming
 
 


Sol A X 3 B X 25 C X 1 5 D X 9 E X 5 2 F X 4 G 3 2 H X 3 I 2 J 2 K X 3 4 L X 3 M X 2 3 N X 1 2 Pdf Descargar Libre
 
 


Complex Number Wikipedia
 
 


Gc6jyeq Bts 09 Mathematiques Unknown Cache In Ile De France France Created By Team Ohana Adoptee Par Jack Devin
 
 


Ejercicio De Palabras Con G J Ll E Y
 
 


Pdf Phosphoproteomic Landscape Of Aml Cells Treated With The Atp Competitive Ck2 Inhibitor Cx 4945
 
 


Use Of A Metabolic Syndrome Severity Z Score To Track Risk During Treatment Of Prediabetes An Analysis Of The Diabetes Prevention Program Diabetes Care
 
 


Solved A Find The Largest Interval On Which Theorem 4 1 Chegg Com
 
 


Pdf Alan M Turing The Applications Of Probability To Cryptography Semantic Scholar
 
 


Periodico Abc Madrid 15 06 1979 Portada Archivo Abc
 
 


Randomized Algorithms Ppt Download
 
 


Samsung Galaxy Core Ficha Tecnica De Caracteristicas Y Precio



1 Vytah

 

コメント
コメントを投稿